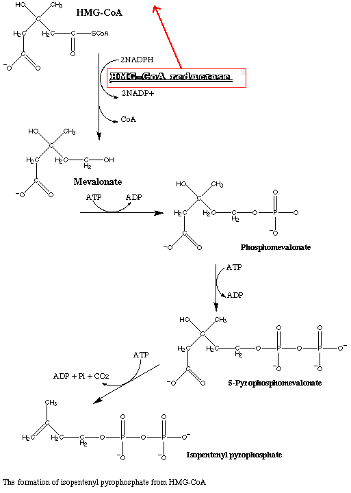
Formation of Isopentenyl Pyrophosphate from HMG-CoA

Winter term project '97

Middlebury College

The HMG-CoA reductase is the main target for the cholesterol-lowering drugs such as Lovastatin. This particular drug is an inhibitor of HMG-coenzyme A reductase. HMG-CoA reductase is an essential catalyst in the rate-limiting reaction of the biosynthesis mechanism of cholesterol.

The other cofactors in this synthesis are mevalonate-5-phosphotransferase, phosphomevalonate kinase, pyrophosphomevalonate decarboxylase.

  1. The CoA thioester group of HMG-CoA is reduced to an alcohol in an NADPH-dependent four-electron reduction catalyzed by HMG-CoA reductase.
  2. The new OH group is phosphorylated by mevalonate-5-phosphotransferase.
  3. The phosphate group is converted to a pyrophosphate by phosphomevalonate kinase.
  4. The molecule is decarboxylated and the resulting alcohol dehydrated by pyrophosphomevalonate decarboxylase.